• Предмет: Алгебра
  • Автор: anonimpeta35
  • Вопрос задан 3 года назад

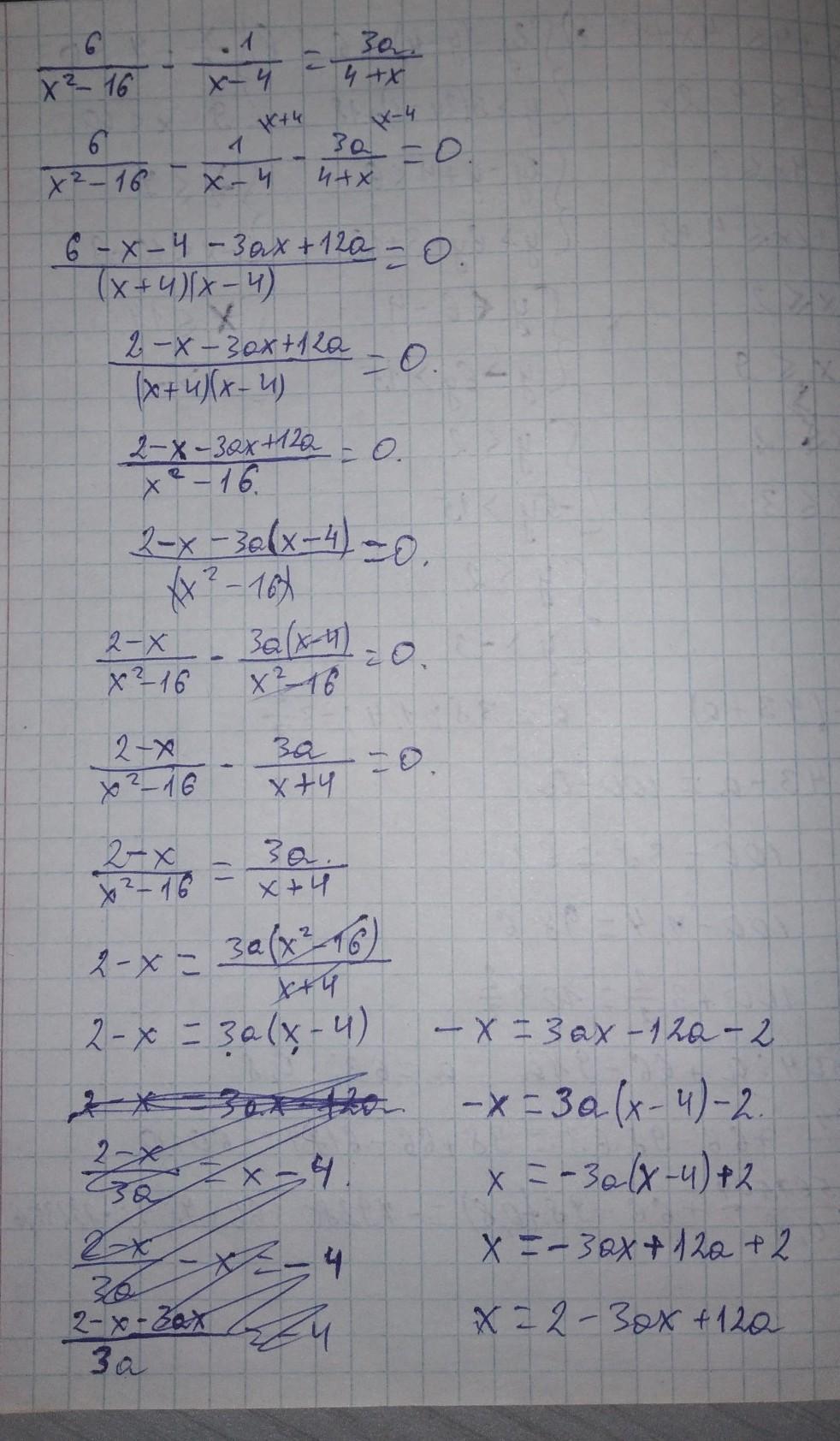
Решите уравнение пожалуйста.

Приложения:

Аноним: Решим за 10 минут!!!Срочно и верно. Обращайся Вк
https://v + k.com/extra__help
(соедини v и k)

Ответы

Ответ дал: GulzhainaManai
0

Ответ:

прости но только до этого смогла дойти

Приложения:
Вас заинтересует