Ответы
                                            Ответ дал: 
                                                                                            
                                                    
                                                
                                                                                    
                                        
                                            
                                                
                                                
                                                
                                                    5
                                                
                                            
                                        
                                    Ответ:
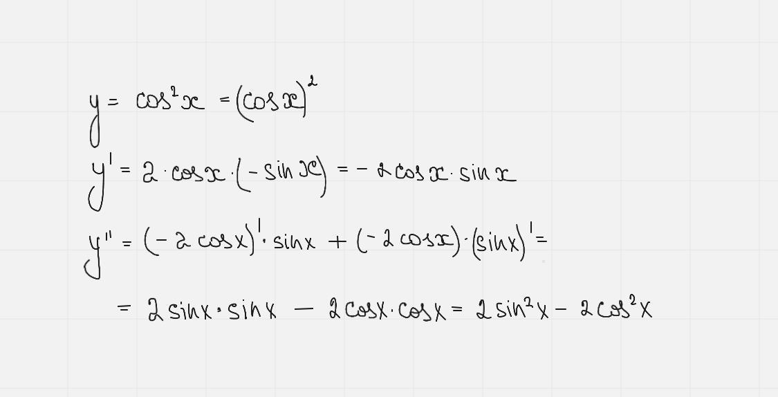
Решение во вложении
Объяснение:
Приложения:
                    
                            
                    bodunova94:
                    Отметь, пожалуйста, как лучшее решение
                
            
                    
                    а как это сделать ? я вот поставил 5 звёзд
                
            
                    
                    а где еще должна быть корона, типа на нее нажимаешь, чтобы отметить решение, как лучшее
                
            Вас заинтересует
                
                        2 года назад
                    
                
                        2 года назад
                    
                
                        2 года назад
                    
                
                        2 года назад
                    
                
                        7 лет назад
                    
                
                        9 лет назад