• Предмет: Алгебра
  • Автор: Elina66095
  • Вопрос задан 3 года назад

Ребяяят помогите решить, заранее спасибо!! ​

Приложения:

Ответы

Ответ дал: dadderty50
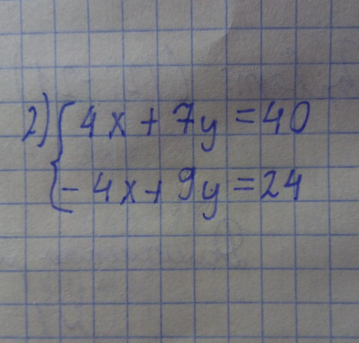
1

Ответ:

(x, y)=(3,4)

Объяснение:

4x=40-7y

-4x+9y=24

-40+7y+9y=24

y=4

-4x+9+4=24

x=3

(x, y)=(3,4)

проверка:

4*3+7*4=40

-4*3+9*4=24

Вас заинтересует