• Предмет: Алгебра
  • Автор: x1mia
  • Вопрос задан 3 года назад

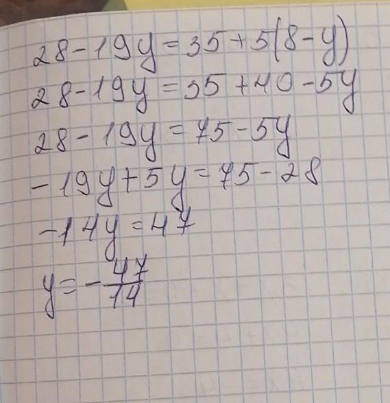
Решите уравнение пожалуйста 28-19y=35+5(8-y)

Ответы

Ответ дал: 60cRaZy60
0

 \\  \\  \\  \\  \\  \\  \\  \\  \\  \\  \\  \\  \\  \\  \\  \\  \\  \\  \\  \\

Приложения:
Ответ дал: yanapolikarpova21
0

Ответ:

-3.36

Объяснение:

28-19у=35+40-5у

-19у+5у=35+40-28

-14у=47

у=-3,36

Вас заинтересует