• Предмет: Геометрия
  • Автор: lizunya1017
  • Вопрос задан 3 года назад

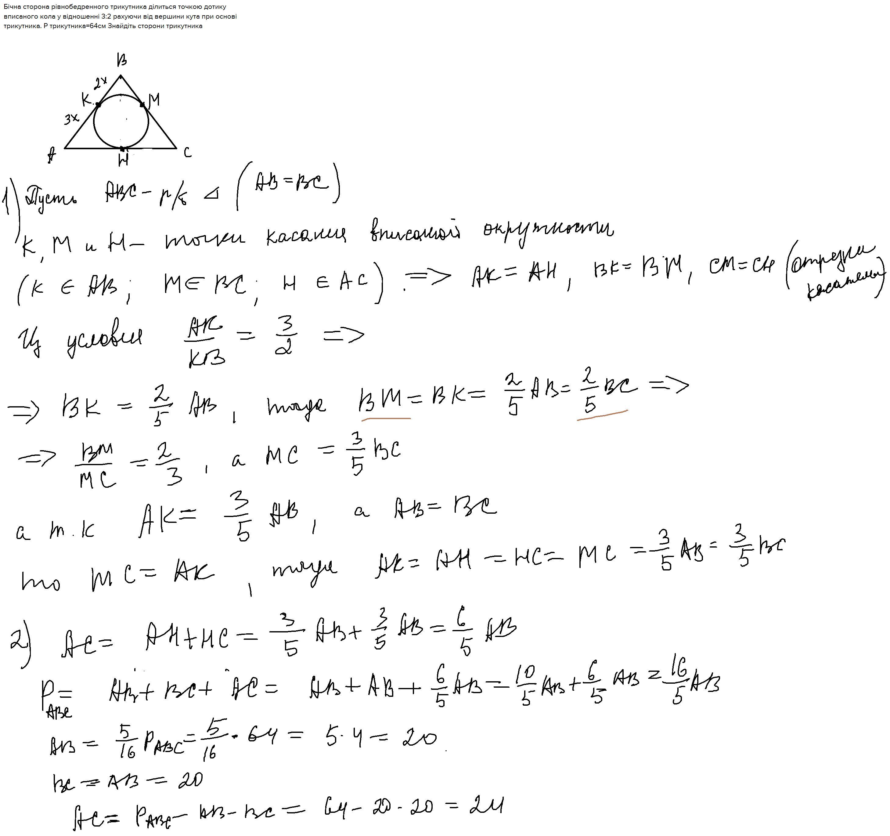
Бічна сторона рівнобедренного трикутника ділиться точкою дотику вписаного кола у відношенні 3:2 рахуючи від вершини кута при основі трикутника. P трикутника=64см Знайдіть сторони трикутника​

Ответы

Ответ дал: vikll
7

Ответ:

Объяснение:

Бічна сторона рівнобедренного трикутника ділиться точкою дотику вписаного кола у відношенні 3:2

Приложения:
Вас заинтересует