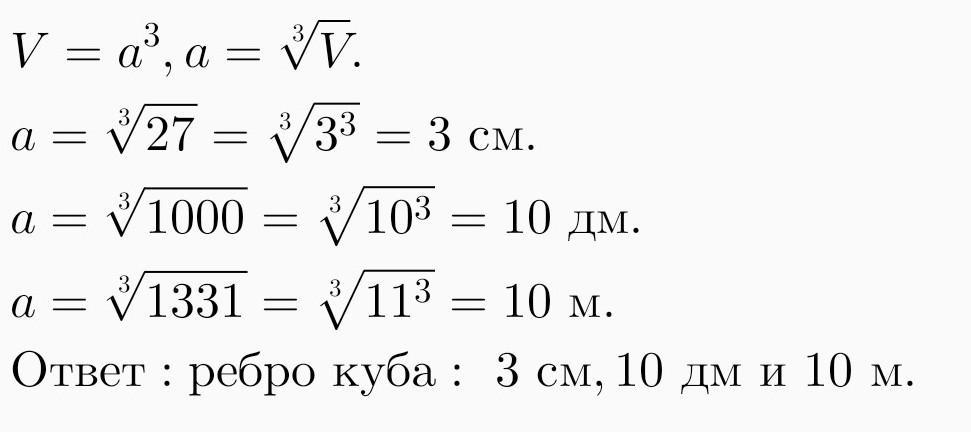
СРОЧНО!!!!! Найдите ребро куба, если его объём равен: 1) 27 см в кубе; 2) 1000 дм в кубе; 3) 1331 м в кубе
Ответы
Ответ дал:
0
/////////////////////
Приложения:

Ответ дал:
0
Ответ:
1) 3
2) 10 дм
3) 11
Пошаговое объяснение:
1)V=a³
корень из 27 равен 3 см
2) в первой степени 1000 дм равен 10 дм
3) корень из 1331 равен 11
Вас заинтересует
2 года назад
2 года назад
2 года назад
7 лет назад