Ответы
Ответ дал:
1
Ответ:
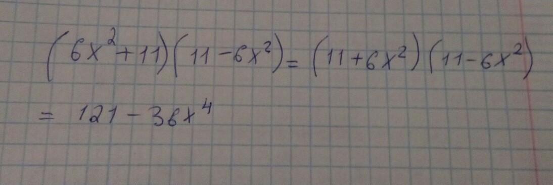
Вот решение этого примера
Приложения:

Вас заинтересует
2 года назад
2 года назад
2 года назад
7 лет назад
7 лет назад