Ответы
Ответ дал:
3
Ответ: решение на фото
Объяснение:
Приложения:

tonushia:
большое спасибо
Ответ дал:
1
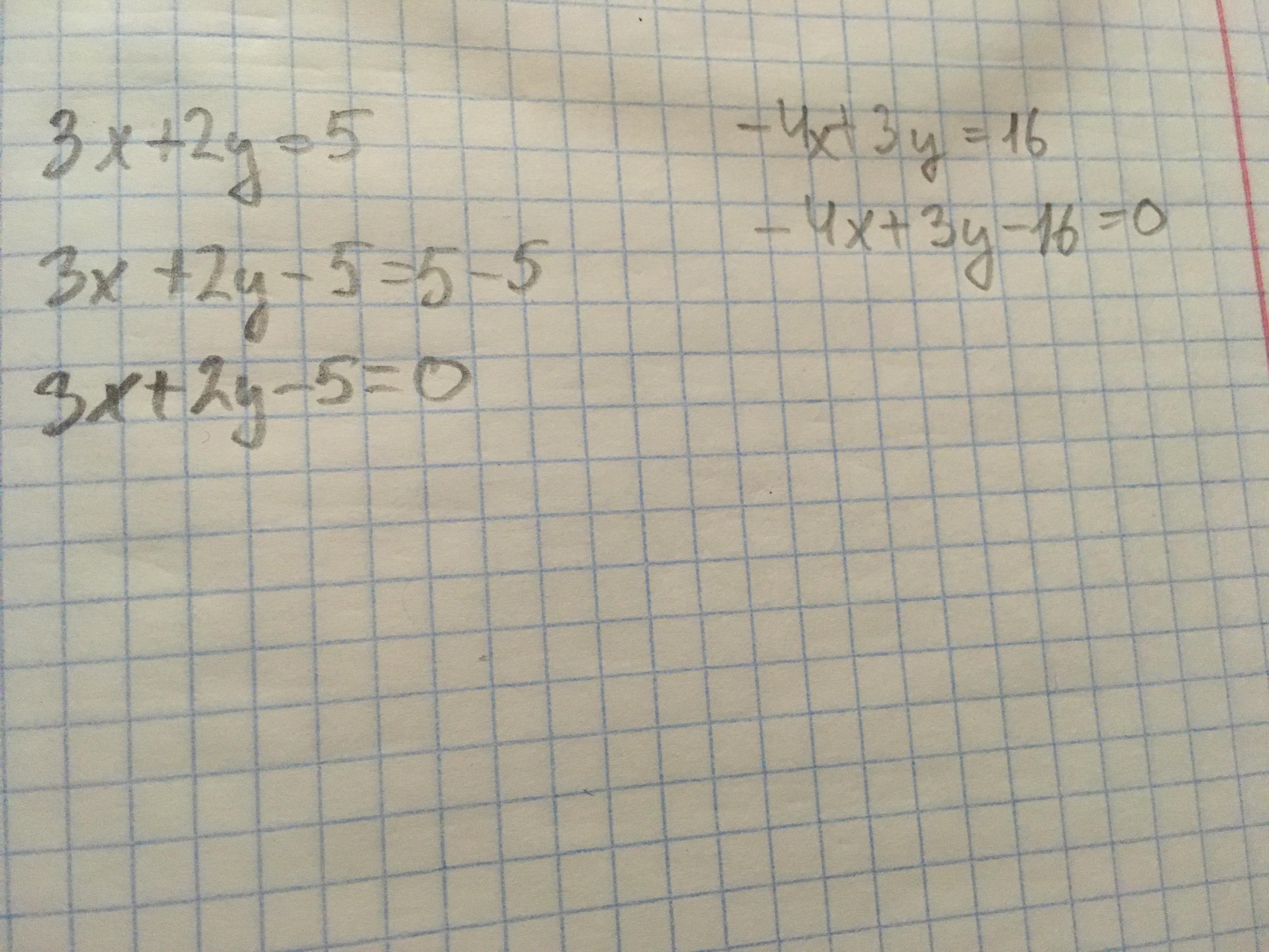
Ответ:
Объяснение: 1) перенести константу в левую часть равенства
2)изменить знаки
Приложения:

Вас заинтересует
2 года назад
2 года назад
2 года назад
7 лет назад