• Предмет: Математика
  • Автор: TheBanann
  • Вопрос задан 3 года назад

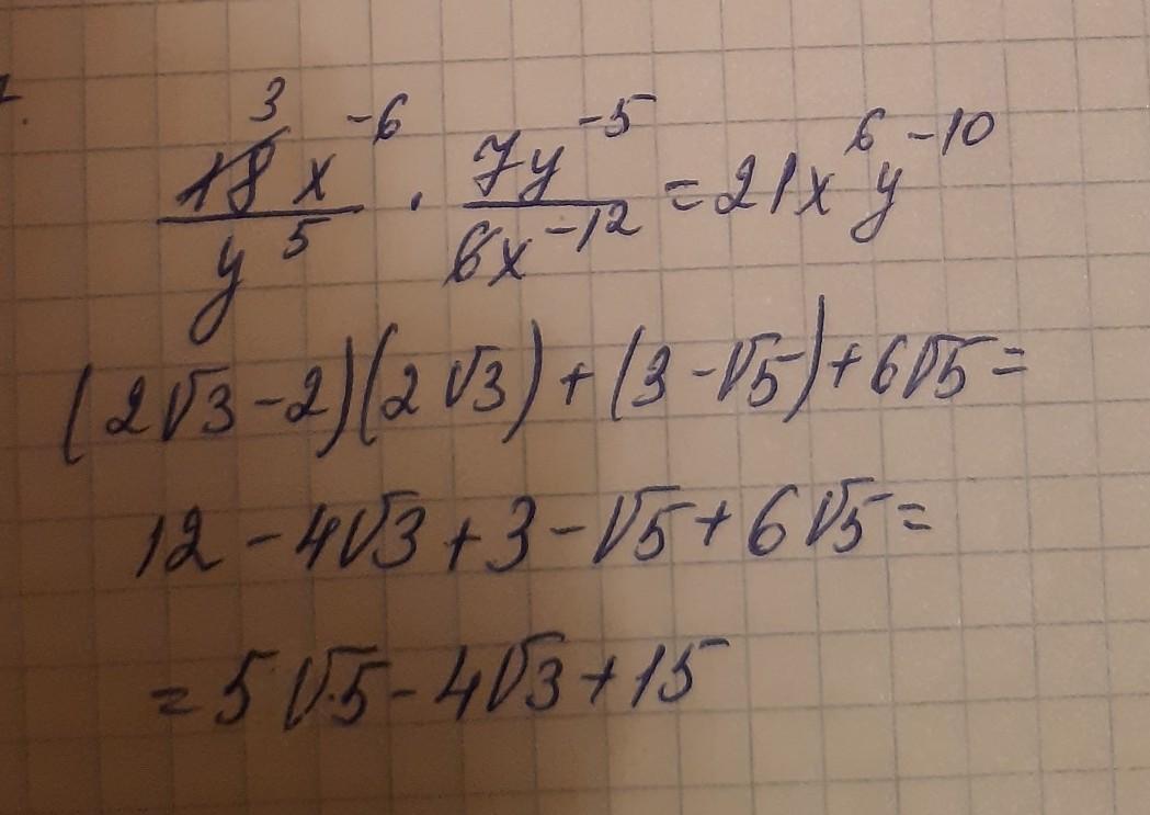
ПОМОГИТЕ ПЖ СРОЧНО ПОЖАЛУЙСТА​

Приложения:

Ответы

Ответ дал: bahytgulkabylainova
0

Пошаговое объяснение:

см фото,,,,,,,,,,,,,,,,

Приложения:
Вас заинтересует