• Предмет: Алгебра
  • Автор: kirillcsgovanlove
  • Вопрос задан 3 года назад

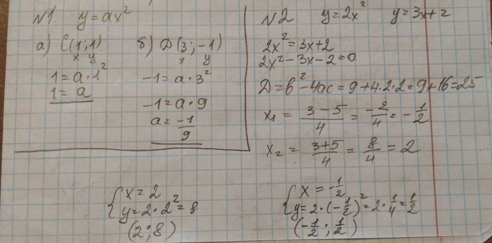
Помогите решить д/з (20 баллов даю) С параболой и графиком.

Приложения:

Ответы

Ответ дал: leramatvienko1994
0

Відповідь:

Пояснення:

Приложения:
Вас заинтересует