Ответы
Ответ дал:
0
Решение:
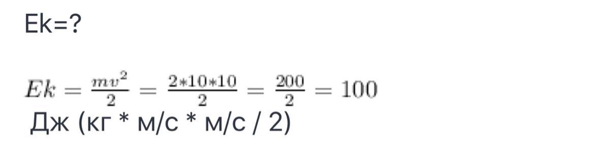
m=2 кг
V=10 м/с
m=2 кг
V=10 м/с
Приложения:

Ответ дал:
0
Ответ:
Я тебе дам формулу:Ek=mv² :2
Получаем 2×10²=200 едениц кинетической энергии
Вас заинтересует
2 года назад
2 года назад
2 года назад
2 года назад
7 лет назад
7 лет назад