• Предмет: Математика
  • Автор: elina242527
  • Вопрос задан 3 года назад

Вычислите: Запишите полностью решение и ответ.РЕБЯТ СРОЧНО ОЧЕНЬ ! Хелп

Приложения:

Ответы

Ответ дал: tv16834
0
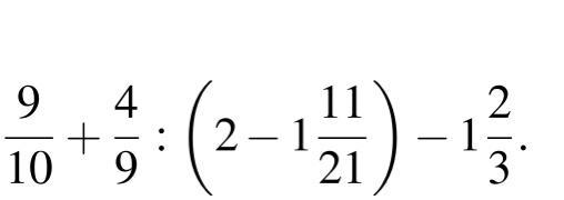
9/10+4/9:(2-32/21)-5/3
9/10+4/9:10/21-5/3
9/10+4/9•21/10-5/3
9/10+2/3•7/5-5/3
9/10+14/15-5/3=1/6
Ответ:1/6
Вас заинтересует