• Предмет: Математика
  • Автор: nnochka
  • Вопрос задан 3 года назад

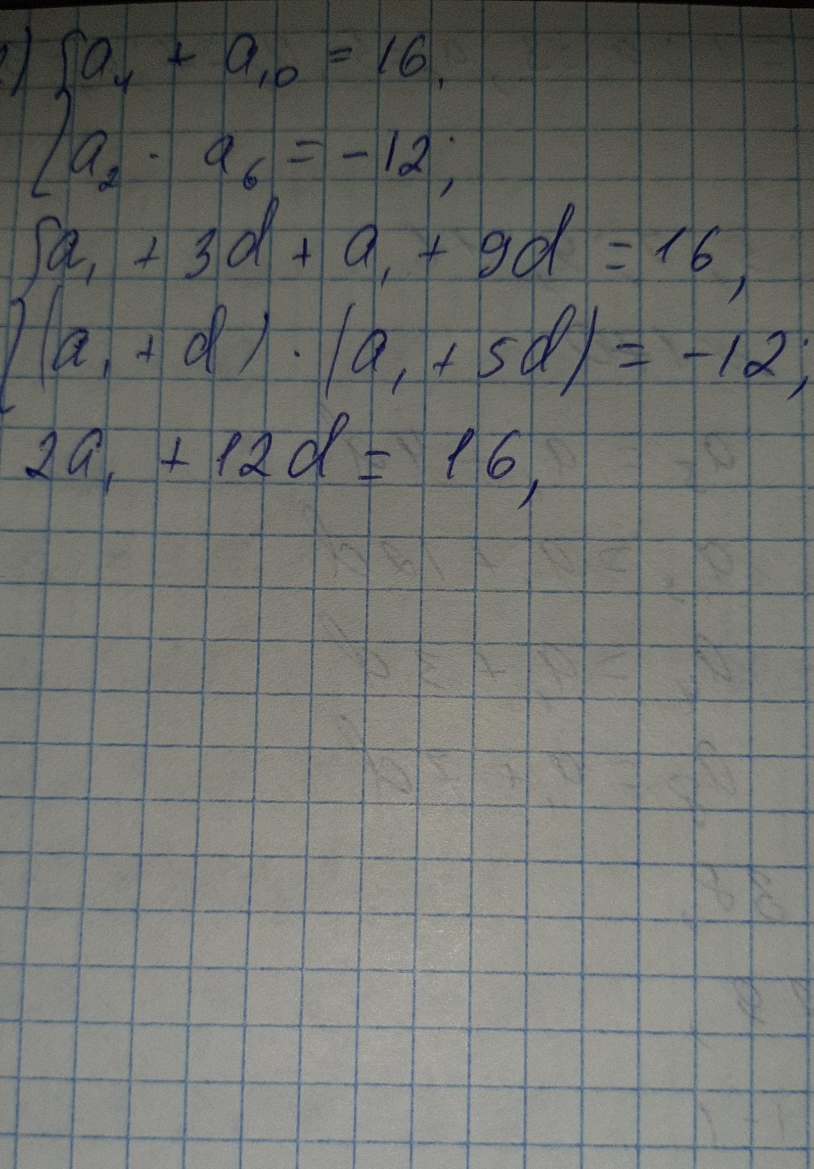
а²×а⁶= -12
Подскажите почему​

Приложения:

Ответы

Ответ дал: ln7xv
0

Ответ:

144

Пошаговое объяснение:

а⁴=12

а²*а⁶=а²⁺⁶=а⁸

а⁸=(а⁴)² =12²=144

Вас заинтересует