• Предмет: Алгебра
  • Автор: morozovabyka
  • Вопрос задан 3 года назад

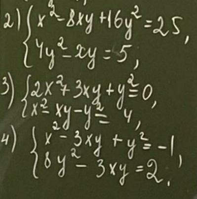
Решить системы уравнений

Приложения:

Ответы

Ответ дал: lidiasaraa3
0

.............................

Приложения:
Вас заинтересует