• Предмет: Математика
  • Автор: uj98uj8ijijj8ji98
  • Вопрос задан 3 года назад

42 45 cрочно!!!!!!!!

Приложения:

Ответы

Ответ дал: baekseoltang7
1

42.

1) 395, 943, 2625, 7121

2) 760, 1270

3) 395, 2625

45.

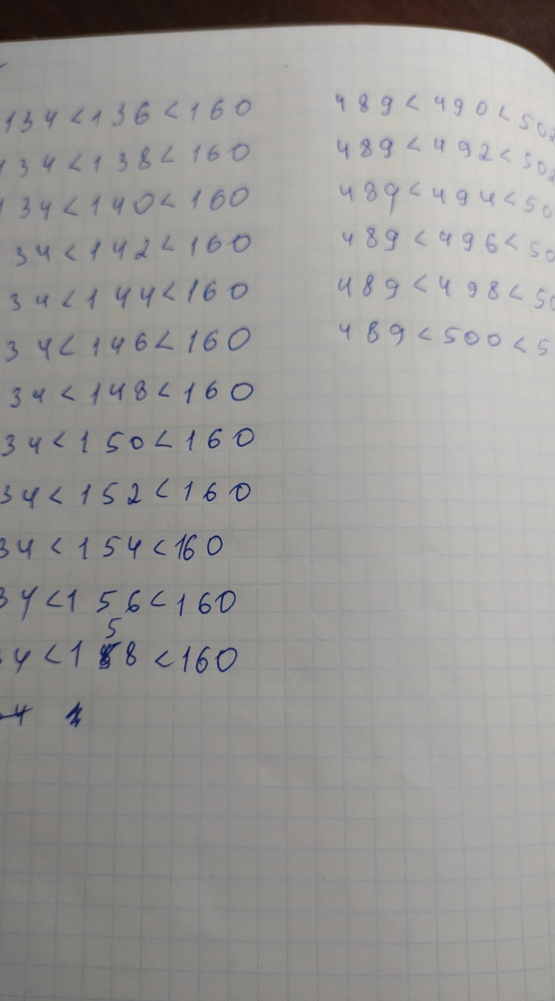
1) 136, 138, 140, 142, 144, 146, 148, 150, 152, 154, 156, 158

2) 490, 492, 494, 496, 498, 500

Ответ дал: vitadanilcenko22
1

Пошаговое объяснение:

х в 1

136

138

140

142

144

146

148

150

152

154

156

158

х в 2

490

492

494

496

498

500

Приложения:
Вас заинтересует