• Предмет: Алгебра
  • Автор: lazybitchhh
  • Вопрос задан 3 года назад

помогите пожалуйста

Приложения:

Ответы

Ответ дал: kingtulipp
1

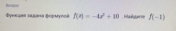
f(x)=-4x^2+10\\f(-1)=-4(-1)^2+10 = -4 + 10 = 6

Ответ: 6

Вас заинтересует