• Предмет: Алгебра
  • Автор: palamarcuk022
  • Вопрос задан 3 года назад

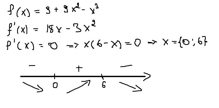
F(x)=3+9x^2-x^3 Інтервали монотоности

Ответы

Ответ дал: igundane
2

/////////////////////////////////////////

Приложения:

noname29908: Помогите пожалуйста с первыми двумя задачами в моем профиле
Вас заинтересует