• Предмет: Математика
  • Автор: khamidulla09
  • Вопрос задан 3 года назад

72/3×=9/46 пж пажалуста​

Ответы

Ответ дал: maxandreevichh
1

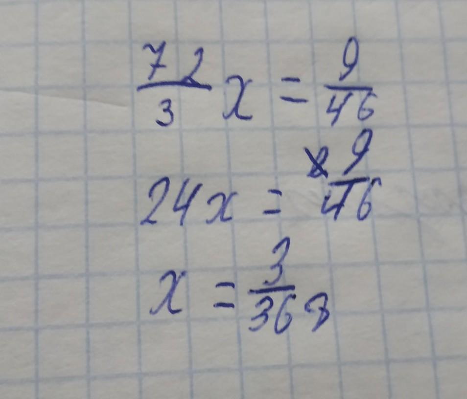
Ответ:

вот посмотри на фото я решил

Приложения:
Ответ дал: NataMon
1

Ответ:

х = 3/368

Пошаговое объяснение:

72/3х = 9/46

х = 9/46 : 72/3

х = 9/46 * 3/72

х = 3/368

Или так:

72/3х = 9/46

24х = 9/46

х = 9/46 : 24 = 9/46 * 1/24

х = 9/1104

х = 3/368


khamidulla09: Это лучше
Вас заинтересует