Ответы
Ответ дал:
1
Ответ:
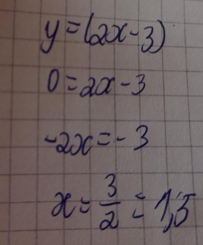
вроде так
Пошаговое объяснение:
я проверила, y = 0
Приложения:

Вас заинтересует
2 года назад
2 года назад
7 лет назад
7 лет назад
9 лет назад