• Предмет: Алгебра
  • Автор: ilovemath64
  • Вопрос задан 3 года назад

1 ТЕСТОВЫЙ ПРИМЕР! пожалуйста точно!​

Приложения:

Ответы

Ответ дал: manyny06
0

Ответ:

Объяснение:

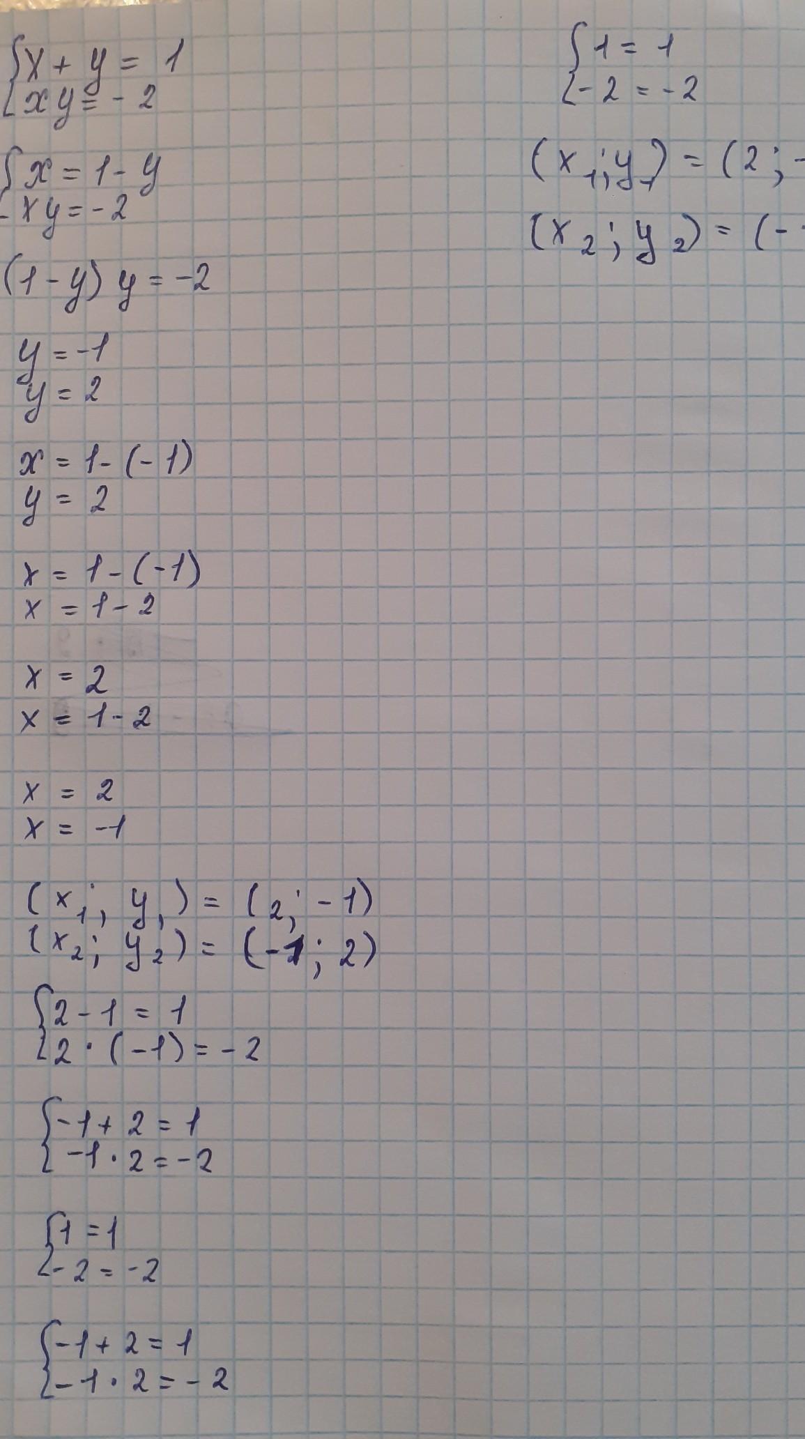
х+у= 1

х*у = -2

х= 2; у = -1  

(2; -1)

или

х= -1; у = 2

(-1; 2)

Ответ дал: ssamsung4565
0

Ответ:

правильный ответ "(2; -1) и (-1;2)

Приложения:

ilovemath64: {ху(х+у)=6, ху+ (х+у)=5 варианты ответа: (0,5 ;4) , (-2;-1) , (2;1) , (-1;-2) , (1;2)
ilovemath64: если не хочешь ,не надо
ilovemath64: ты и так мне оочень помогла
ilovemath64: буду отвечать наугад ,хд
ssamsung4565: подожди, 5 мин
ilovemath64: оой, спасибо ❤
ssamsung4565: (2;1) и (1;2)
ilovemath64: СПАСИБО в миллионный раз! теперь благодаря тебе у меня 7/10 баллов) это 4 , все примеры которые ты решила правильные, это только не правильные те которые я сама в начале делала)
ilovemath64: счастья и удачи тебе! ❤
ssamsung4565: спасибо
Вас заинтересует