• Предмет: Алгебра
  • Автор: Nurzhan94
  • Вопрос задан 3 года назад

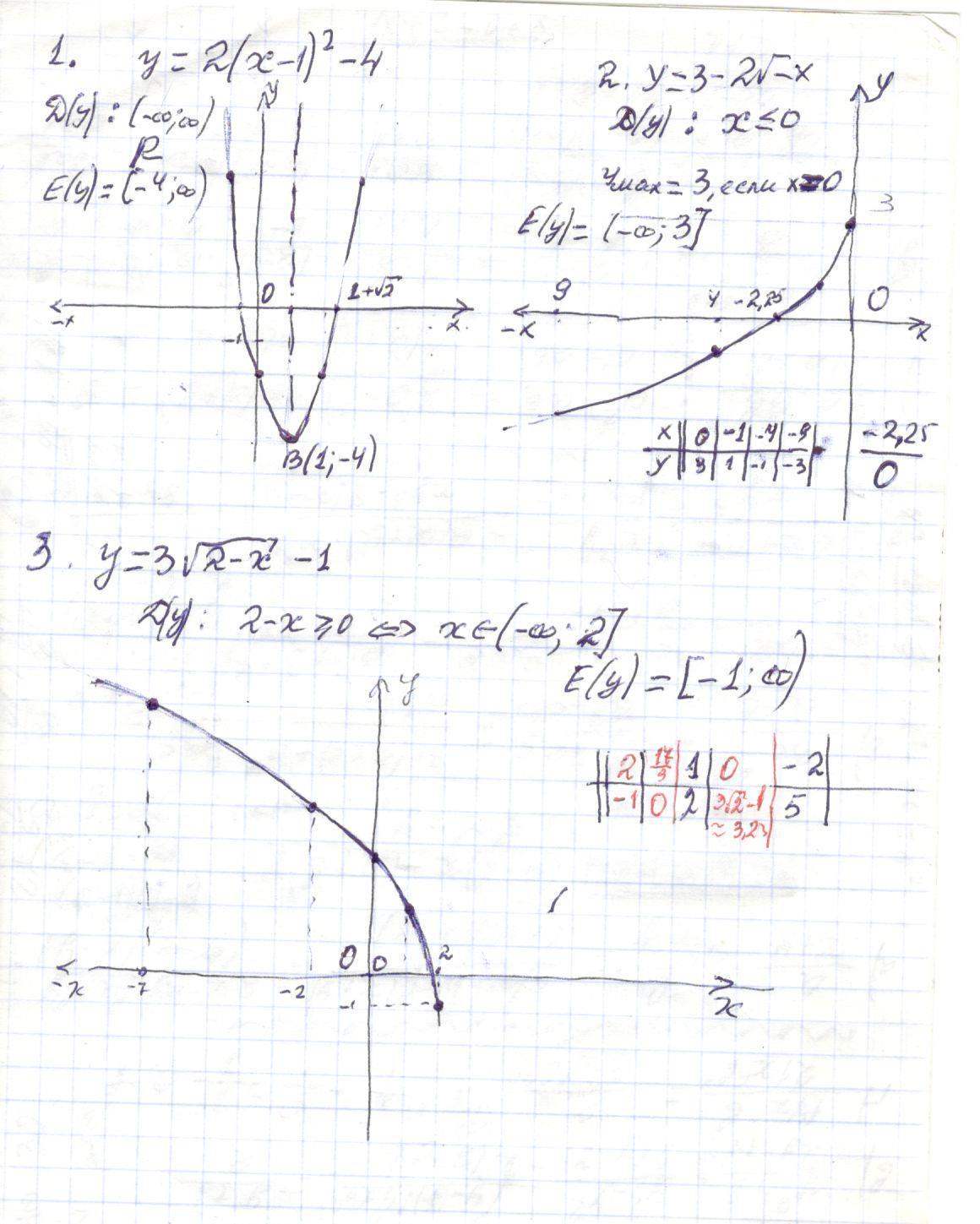
Постройте график функции

Приложения:

Ответы

Ответ дал: oganesbagoyan
1

https://znanija.com/task/37980057

Постройте график функции

Используя график функции y =f(x) и алгоритм построения графика функции y =kf(a(x+n)) +m постройте график функции

1) y =2(x-1)²- 4 ;    2) y = -3 - 2√x ;     3) y = 3√(2-x)  - 1 .

_ _ _ _ _ _ _ _ _ _ _ _ _ _ _ _

Графики  (схематические) функции  во вложении

Приложения:

Nurzhan94: Например во 2 будет так? :
Nurzhan94: 1) y = корень х
Nurzhan94: 2) у=√2-х
Nurzhan94: 3) у=3√2-х
Nurzhan94: 4) у=3√2-х -1
Nurzhan94: Во 2 задании 4 графика должны строить ?
oganesbagoyan: 1) y =2(x-1)² - 4 ; 2) y = 3 - 2√-x ; 3) y = 3√(2-x) - 1 . графики этих функции
WhatYouNeed: ответ не по условию. За что взято f(x) и как использовалось y=kf(a(x+n))+m ?
Вас заинтересует