• Предмет: Алгебра
  • Автор: garaninmaks2018
  • Вопрос задан 3 года назад

Пожалуйстаааааааааааааааааа heeeeeeeelp​

Приложения:

garaninmaks2018: ребят если что можно пожалуйста с решением❤️

Ответы

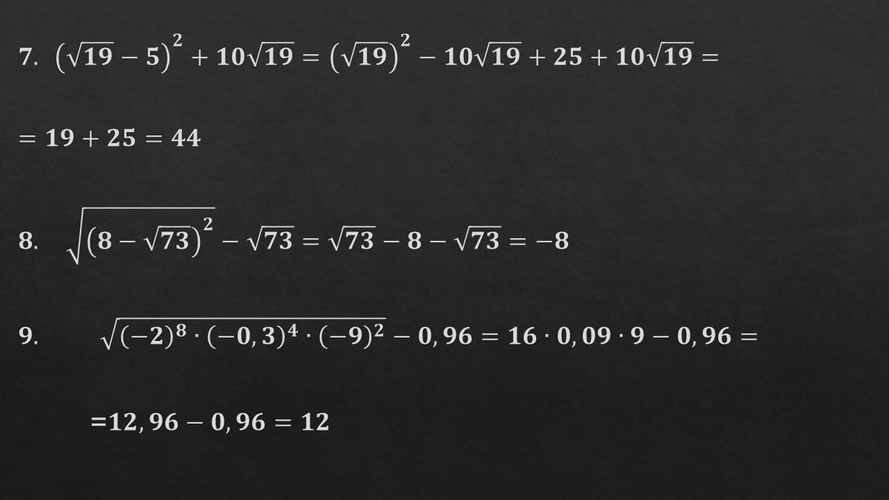
Ответ дал: afet74
1

Ответ:

Объяснение:      

посмотрите на фото                          

Приложения:

garaninmaks2018: Боже, спасибо тебе огромное!))
afet74: пожалуйста)
Вас заинтересует