• Предмет: Математика
  • Автор: StudentPrizivnik
  • Вопрос задан 3 года назад

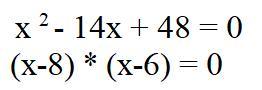
Математика, уравнение. Объясните почему получилось так, ответ не нужен.

Приложения:

Ответы

Ответ дал: maxim91121
0
В 2 один из х =0 В 2 один из х =0

StudentPrizivnik: x1 = 8; x2 = 6...
maxim91121: Х1-8 а не =8
Вас заинтересует