Решите уравнение. 1/2x^2-x-3+1/2x^2-9+9=x/x^2-2x-3
tamarabernukho:
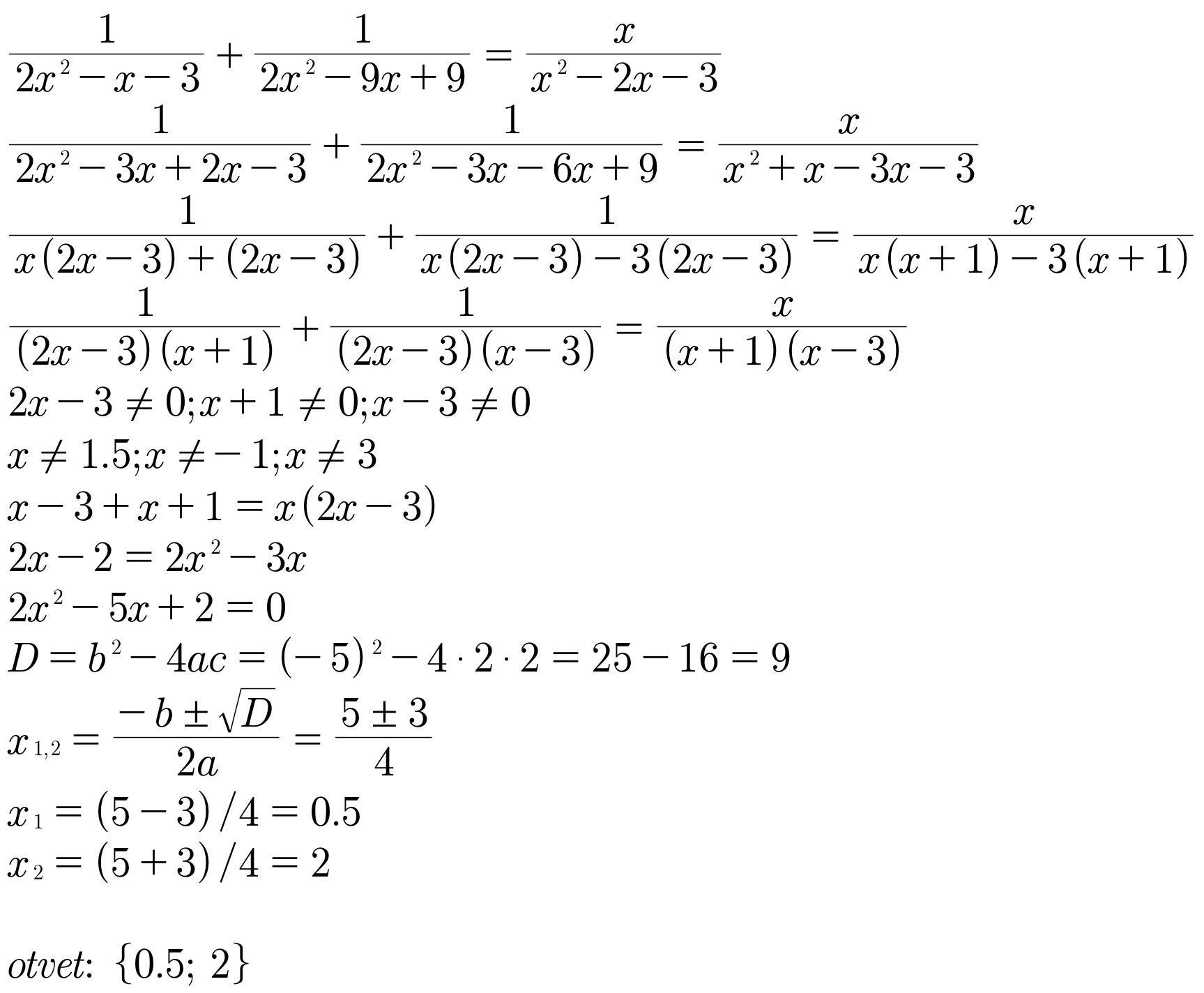
Условие такое:1/(2x^2-x-3+1/2x^2-9+9=x/x^2-2x-3
Ответы
Ответ дал:
2
Ответ:
Объяснение:
Вероятно, что в условии в знаменателе второй дроби пропущен икс..
Приложения:

Вас заинтересует
2 года назад
2 года назад
2 года назад
2 года назад
7 лет назад
7 лет назад
9 лет назад