• Предмет: Алгебра
  • Автор: ilnurshik12
  • Вопрос задан 3 года назад

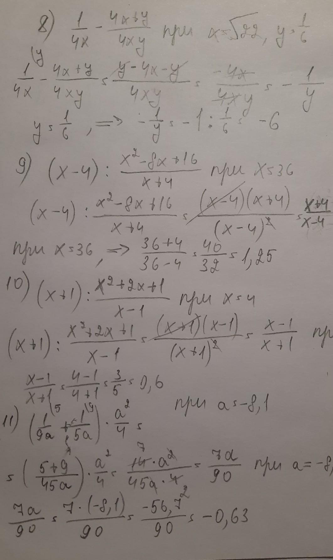
помогите с решением пожалуйста 20 баллов ​

Приложения:

Ответы

Ответ дал: apple1204
1

Ответ:

8) -6; 9) 1,25; 10)0,6; 11) -0,63; 12) 0,49; 13) 84

Приложения:
Вас заинтересует