Позязя помогите я опять тупонула
Приложения:

pestryakovajuliana:
Дам 30 баллов только помогите пожалуйста
Ответы
Ответ дал:
1
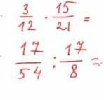
Ответ:
где зачеркнуто,там сократила дробь
Приложения:

Вас заинтересует
2 года назад
2 года назад
2 года назад
7 лет назад
9 лет назад