• Предмет: Алгебра
  • Автор: elinaeroshena36
  • Вопрос задан 3 года назад

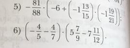
КТО ОТВЕТИТ ТОМА 20 БАЛЛОВ

Приложения:

Ответы

Ответ дал: Арина0609
1

Ответ в закреплённом фото

Приложения:
Вас заинтересует