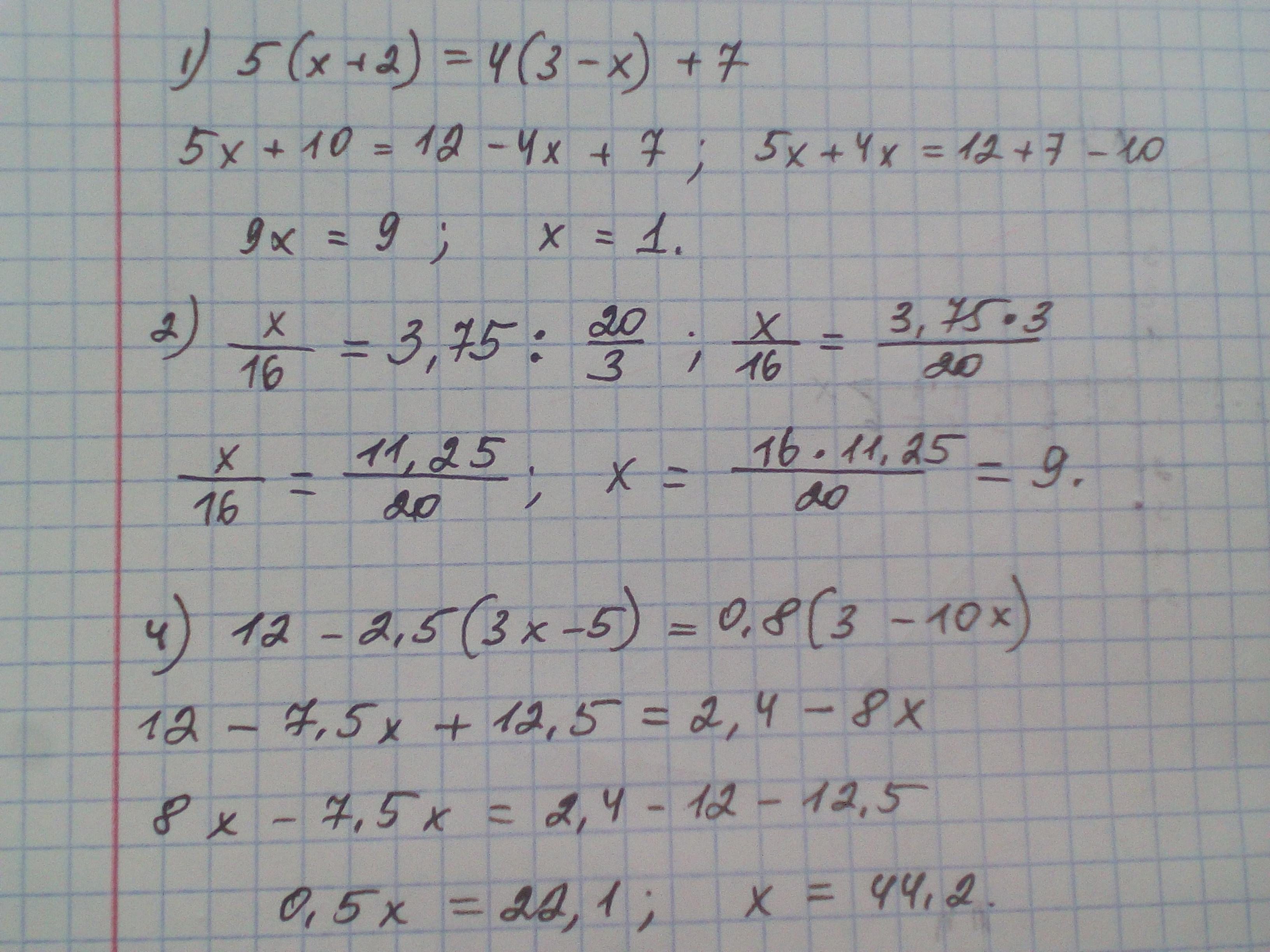
1)5 (х + 2) = 4 (3-х) + 7
2)х : 16=3 3\4 :6 2/3
3)х:16= 3 3/4 : 6 2/3
4)12-2,5(3х-5)= 4/5(3-10х)
Ответы
Ответ дал:
0
Ответ:
1)5 (х + 2) = 4 (3-х) + 7=x=1
2)х : 16=3 3\4 :6 2/3=x=20/3
3)х : 16=3 3\4 :6 2/3=x=20/3
4)12-2,5(3х-5)= 4/5(3-10х)=x=-44,2
Ответ дал:
0
:::::::::::::::::::Объяснение:::::::::::::::::::::
Приложения:

Вас заинтересует
2 года назад
2 года назад
2 года назад
7 лет назад
7 лет назад
9 лет назад