• Предмет: Алгебра
  • Автор: aida666746
  • Вопрос задан 3 года назад

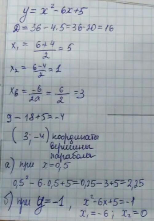
y=x^2-6x+5 функциясын бүтін сандар жиынында графиктік тәсілмен беріңдер.
Помогите!!!

Ответы

Ответ дал: zhanbirshina2003mail
12

вот, держи, удачиии)))

Приложения:
Вас заинтересует