• Предмет: Алгебра
  • Автор: polina7650
  • Вопрос задан 3 года назад

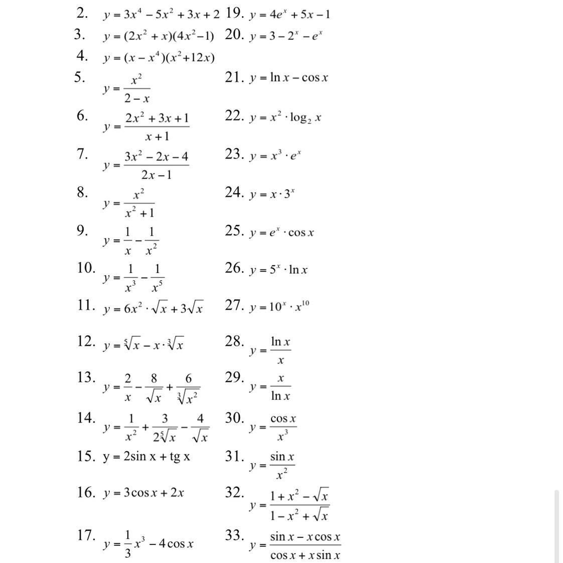
Номер 4,5,6,9,10,12,17,25,26,29,33

Приложения:

Miroslava227: Производные найти?

Ответы

Ответ дал: Miroslava227
0

Ответ:

решение на фотографиях

Приложения:
Вас заинтересует