• Предмет: Геометрия
  • Автор: kftykhfkf
  • Вопрос задан 3 года назад

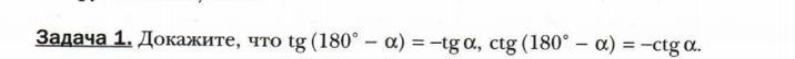
докажите что....................

Приложения:

Ответы

Ответ дал: alinakasymbek
0

Ответ:

Не удаляй пожалуйста.Ради родных иблизких

Вас заинтересует