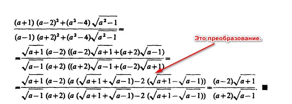
Кто-то может пояснить данное преобразование?
Приложения:

mmb1:
типа для сокращения, но это бессмыслица
Ответы
Ответ дал:
1
(a - 2)√(a + 1) + (a + 2)√(a - 1) = a√(a + 1) - 2√(a + 1) + a√(a - 1) + 2√(a - 1) = a(√(a + 1) + √(a - 1)) - 2(√(a + 1) - √(a - 1))
только это бессмысленность, если значения в последних скобках итак равны, на предыдущем этапе и их можно сократить
https://prnt.sc/udo91j
Вас заинтересует
2 года назад
2 года назад
7 лет назад
7 лет назад