• Предмет: Алгебра
  • Автор: sshhiinnggaammii
  • Вопрос задан 3 года назад

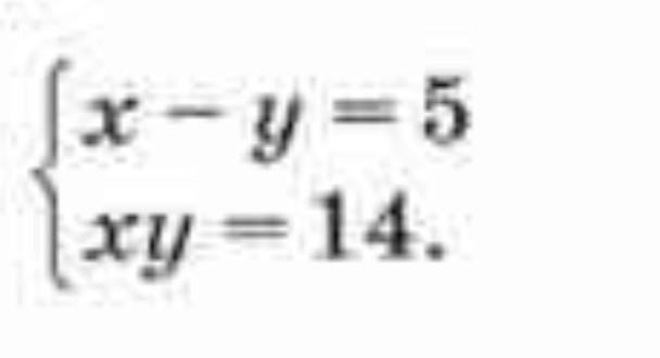
Реши систему уравнений.​

Приложения:

Ответы

Ответ дал: netvoechado
1

Ответ:

(x1;y1)=(-2;-7)

(x2;y2)=(7;2)

цифры возле X и Y пишеш в низу и маленькими

Вас заинтересует