ОБЪЯСНИТЕ как это решать приведите к многочлену стандартного вида выражения: 1.(1+b)³ 2.(a-2)³ 3.(3a+b)³ 4.(c-4d)³
netvoechado:
Это типа 4 задания?
Ответы
Ответ дал:
1
Ответ:
Объяснение:
Многочлен стандартного вида - это многочлен, в котором:
1) Каждый член многочлена является одночленом стандартного вида;
2) Нет подобных членов (слагаемых);
3) Одночлены расположены в порядке убывания степеней.
Пример:
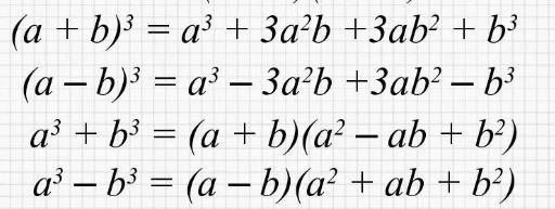
Все примеры, которые даны в задании решаются, с помощью формул сокращенного умножения кубической степени (см.вложение)
Приложения:

Вас заинтересует
2 года назад
2 года назад
7 лет назад
7 лет назад
9 лет назад