• Предмет: Математика
  • Автор: ogarkovnikita20047
  • Вопрос задан 3 года назад

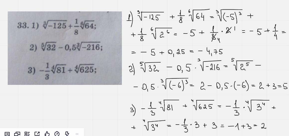
Помогите решить под номером №33 1) 2) 3)
Заранее огромное спасибо

Приложения:

Аноним: хахахах

Ответы

Ответ дал: bodunova94
2

Ответ:

Ответы в решении

Пошаговое объяснение:

Приложения:

ogarkovnikita20047: Спасибо огромное
Вас заинтересует