РЕШИТЕ КАКИЕ СМОЖЕТЕ ПОЖАЛУЙСТА:
1) Найдите
если 
2)По каким углом (в градусах) график функции
проходит через начало координат?
3)Найдите значение производной функции в точке 

4)Дана функция
Найдите значение производной в точке 
5)В каких точках надо провести касательные к графику функции
так, чтобы эти касательные были параллельны прямой 
6)Найдите предел функции 
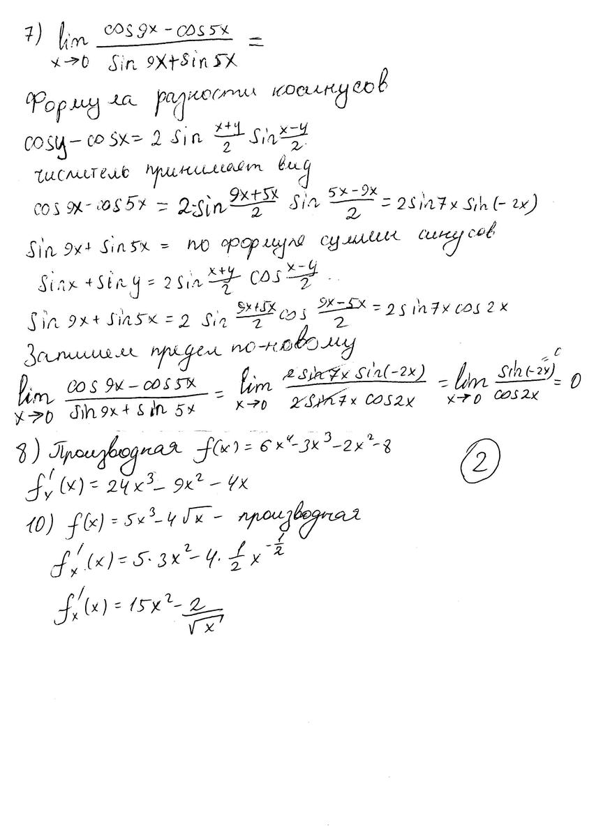
7)Вычислите предел функции 
8)Найдите производную функции: 
9)Найдите сумму геометрической прогрессии 32; 24; 18;...
10)Найдите производную функции:
Ответы
Ответ дал:
2
То, что не решено в предыдущих заданиях, есть во вложениях.
Приложения:


Аноним:
ага спасибо
Вас заинтересует
2 года назад
2 года назад
2 года назад
2 года назад
7 лет назад
7 лет назад
9 лет назад