• Предмет: Алгебра
  • Автор: elieli89
  • Вопрос задан 3 года назад

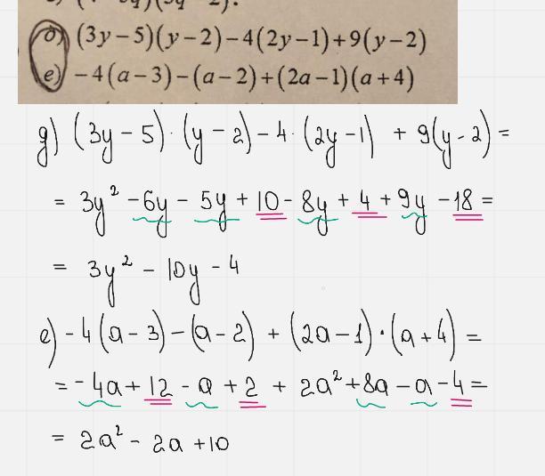
Помогите пожалуйста Номер д). e).

Приложения:

Ответы

Ответ дал: bodunova94
1

Ответ:

Решение во вложении

Объяснение:

Приложения:
Ответ дал: dashkaynd
1

д) 3у^2-5у-6у+10-8у+4+9у-18=3у^2-10у-4

е) -4а+12-а+2+2а^2+8а-а-4=2а^2+2а+10

Вас заинтересует