• Предмет: Алгебра
  • Автор: akrusssha
  • Вопрос задан 3 года назад

Помогите пожалуйста решить уравнение
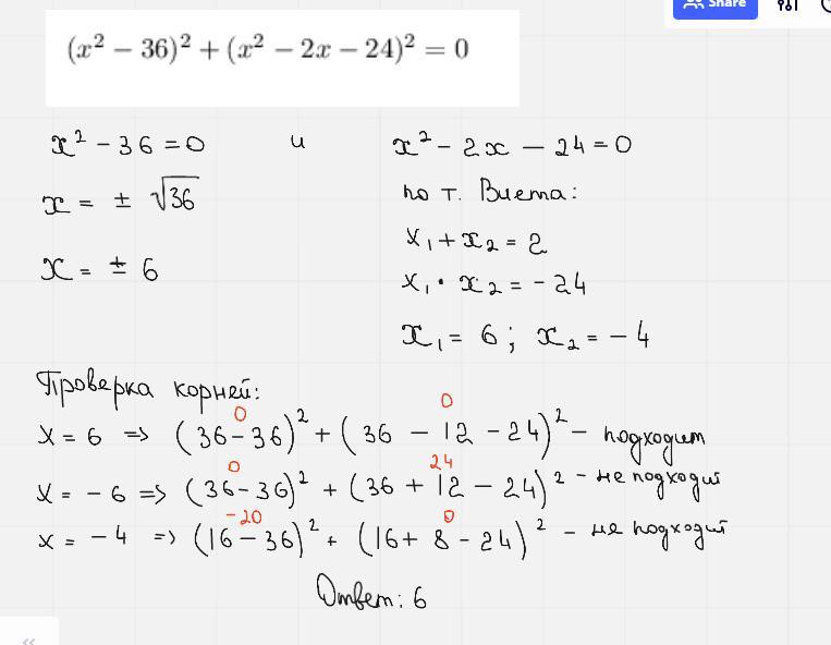
(x {}^{2}  - 36) {}^{2} + (x { }^{2}  - 2x - 24) {}^{2}  = 0


Ответы

Ответ дал: bodunova94
1

Ответ:

6

Объяснение:

Объясняю, почему приравняла каждое слагаемое в квадрате к нулю: Дело в том, что мы видим здесь сумму квадратов чисел, которая равна нулю. Когда такое может быть? Тогда, когда каждое из чисел равно нулю.

Это можно записать перед решением уравнения.

Получилось три корня, необходимо сделать обязательно проверку. После проверки видим, что подходит только 6.

Приложения:
Вас заинтересует