Ответы
Ответ дал:
0
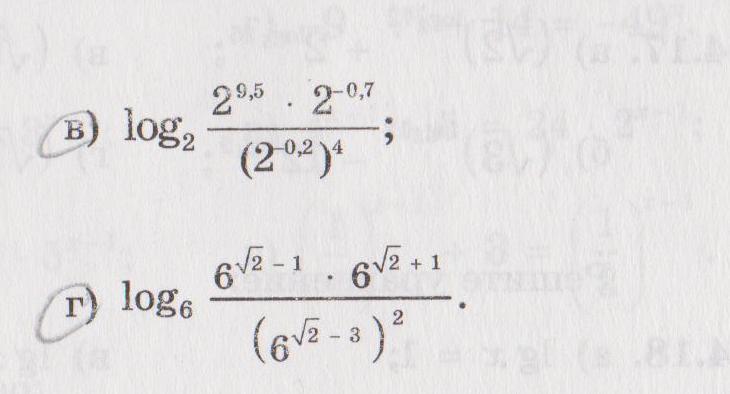
1) log2 (2^9.5*2^(-0.7))/(2^(-0.8)=log2 2^9.6=9.6
2) log6 6^6=6
только работа со степенями, то есть * = + и / = - как то так ))
Удачи;
2) log6 6^6=6
только работа со степенями, то есть * = + и / = - как то так ))
Удачи;
Вас заинтересует
3 года назад
8 лет назад
8 лет назад
11 лет назад
11 лет назад