• Предмет: Алгебра
  • Автор: linarafinatovna
  • Вопрос задан 3 года назад

срочно помогите пожалуйста ​

Приложения:

Ответы

Ответ дал: Vas61
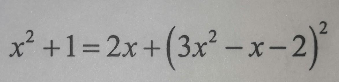
1

Ответ:

x=-1     x=-1/3     x=1

Объяснение:

x²+1-2x=(3x²-x-2)²

(x-1)²=(3x²-x-2)²

(x-1)²-(3x²-x-2)²=0

(x-1-3x²+x+2)(x-1+3x²-x-2)=0

(2x-3x²+1)(3x²-3)=0

-3x²+2x+1=0         или        3x²-3=0

3x²-2x-1=0                           3(x²-1)=0

D=4+12=16                            x²-1=0

x₁=(2-4)/6=-1/3                      x=-1      x=1

x₂=(2+4)/6=1

x=-1     x=-1/3      x=1

Вас заинтересует