• Предмет: Математика
  • Автор: berger1963
  • Вопрос задан 3 года назад

Что трудно написать ответ, всем нужны халявные баллы что-ли? Решите по человечески 5, 8, 9 номера

Приложения:

Ответы

Ответ дал: kombat1488
3

Дело то не в халявных баллах, а в задании.

Оно то не самое простое.

Ты когда научился решать дифференциалы?

И научился ли?

Сложно нафармить баллы и выставить хотя бы за 30?

Чуешь, как неприятно начинать читать с претензий?

То-то.

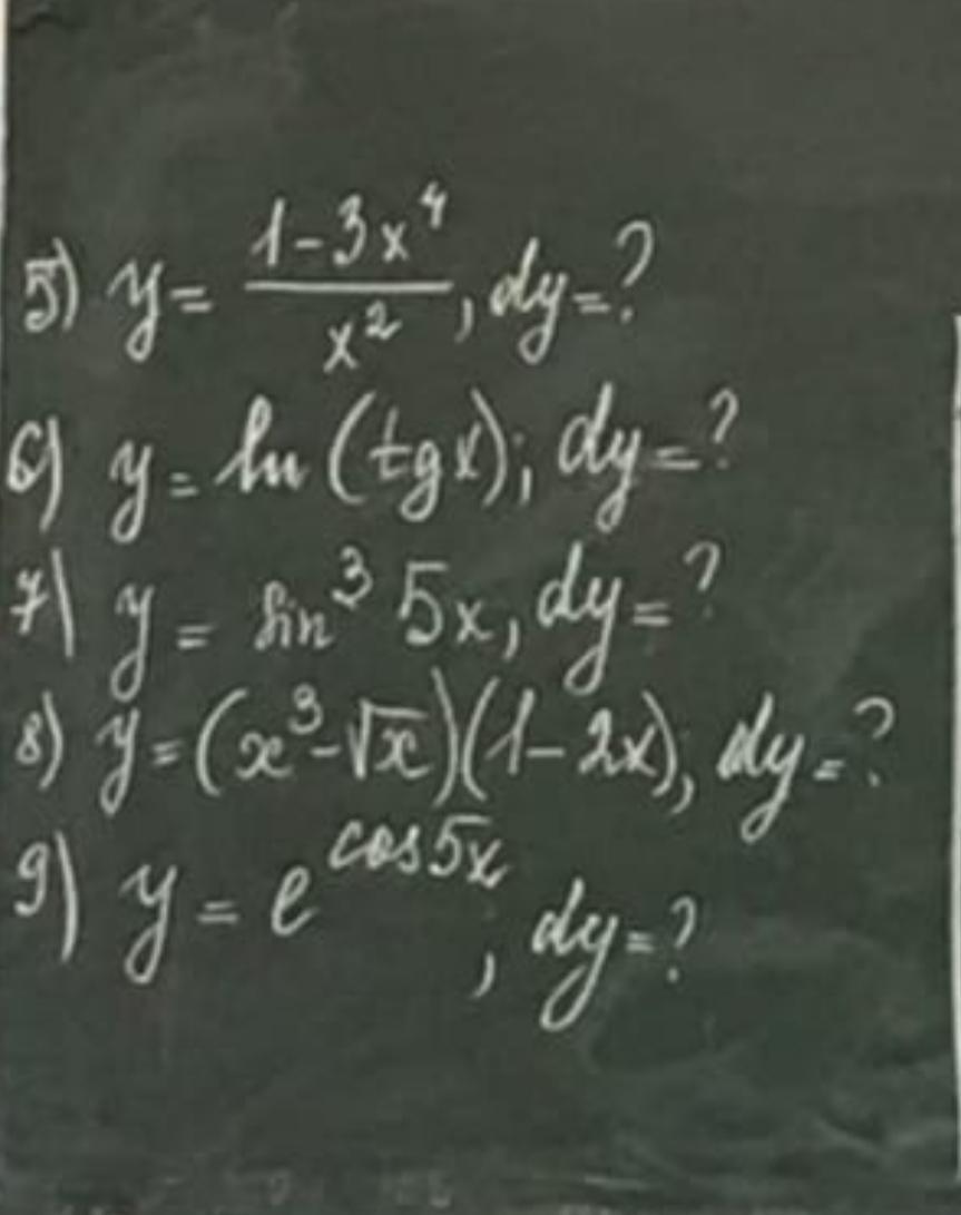
5)

dy=(\frac {1}{x^2}-3x^2)'dx\\</p><p>dy=(-\frac {2}{x^3}-6x)dx

6)

dy=(ln(tgx)) 'dx\\</p><p>dy=\frac {dx}{sinxcosx}

7)

dy=(sin^35x)'dx\\</p><p>dy=15sin^25x*cos5xdx

8)

dy=(x^3-2x^4-\sqrt x+2x^{\frac {3}{2}})'dx\\</p><p>dy=(3x^2-8x^3-\frac {1}{2\sqrt x} +3\sqrt x) dx

9)

dy=(e^{cos5x})'dx\\</p><p>dy=-5e^{cos5x}sin5xdx

Вас заинтересует