• Предмет: Алгебра
  • Автор: kleverrr14
  • Вопрос задан 3 года назад

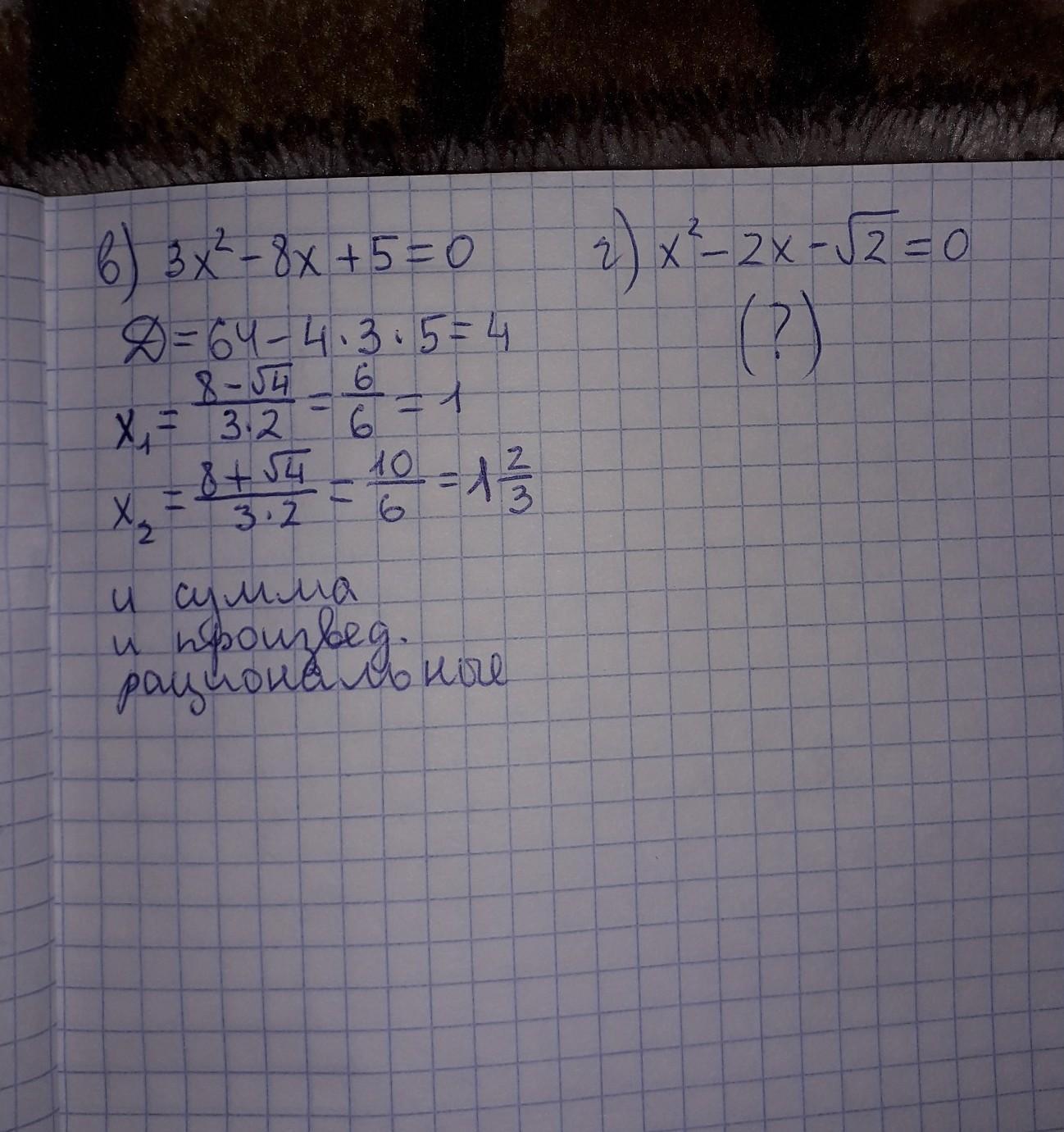
Решите, пожалуйста!!
Только решение уравнений, координатная прямая не нужна, спасибо
Номера 6 и 7 под цифрой 2. (То есть №6.2) и №7.2))

Приложения:

Ответы

Ответ дал: vooooolk
1

Объяснение:

что-то с этими корнями ничего не могу придумать, получается что-то странное

Приложения:
Вас заинтересует