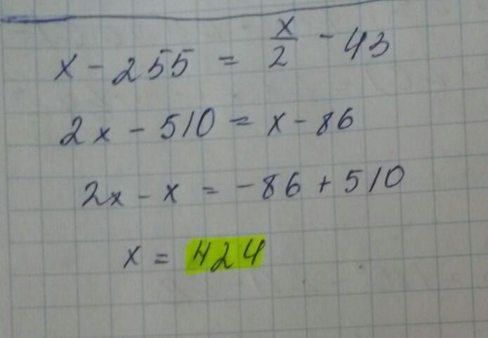
задумали число.от этого числа отняли 255 и получили число,которое на 43 меньше половины задуманного числа
Ответы
Ответ дал:
18
Задумали х
х-255=х/2-43
х/2=212
х=212*2=424
Ответ дал:
5
Ответ:
х=424
Пошаговое объяснение:
Смотрите на фото
Приложения:

Вас заинтересует
2 года назад
2 года назад
2 года назад
7 лет назад
7 лет назад
9 лет назад
9 лет назад