Ответы
Ответ дал:
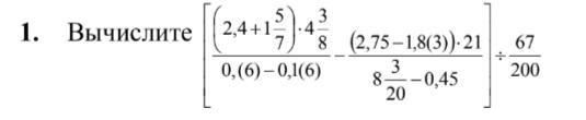
0
Ответ:
вот, попорядку все запишешь, правильно
Объяснение:
можешь отметить ответ, как самым лучшим?)
Приложения:




Вас заинтересует
2 года назад
2 года назад
2 года назад
2 года назад
7 лет назад
7 лет назад
9 лет назад