• Предмет: Математика
  • Автор: sagdiasuumbaeva
  • Вопрос задан 3 года назад

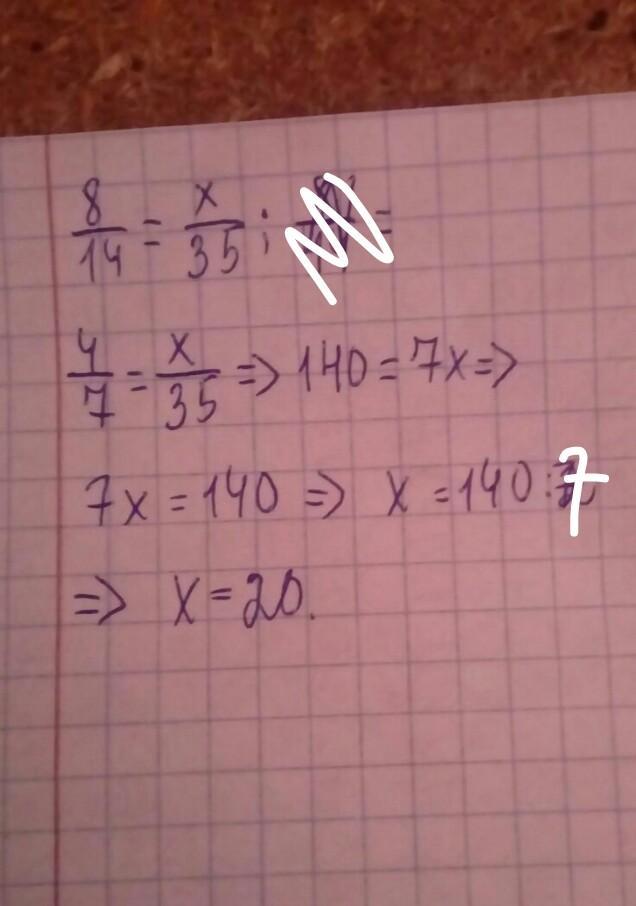
пропарация нын белгызыс. мушесын. табыныз. 1)8/14=x/35


sagdiasuumbaeva: казыр

Ответы

Ответ дал: aisalkamm
1

Пошаговое объяснение:

......................

Приложения:
Вас заинтересует