• Предмет: Алгебра
  • Автор: liza2004che
  • Вопрос задан 3 года назад

Помогите пожалуйста!!!!

Приложения:

Ответы

Ответ дал: palilov243659
1

Ответ:

Объяснение:

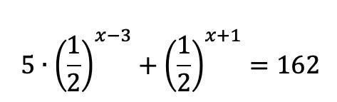
5(\frac{1}{2} )^{x-3} +(\frac{1}{2} )^{x+1} =1625*(\frac{1}2}) ^{-3} *(\frac{1}{2} )^{x}+ \frac{1}{2}*(\frac{1}{2} )^{x}=162\\5*8*(\frac{1}{2} )^{x}+ \frac{1}{2}*(\frac{1}{2} )^{x}=162

\frac{81}{2} *(\frac{1}{2} )^{x} =162\\(\frac{1}{2} )^{x} =\frac{162*2}{81} \\(\frac{1}{2} )^{x}=4\\2^{-x} =2^{2} \\-x=2\\x=-2

Вас заинтересует