Ответы
Ответ дал:
0
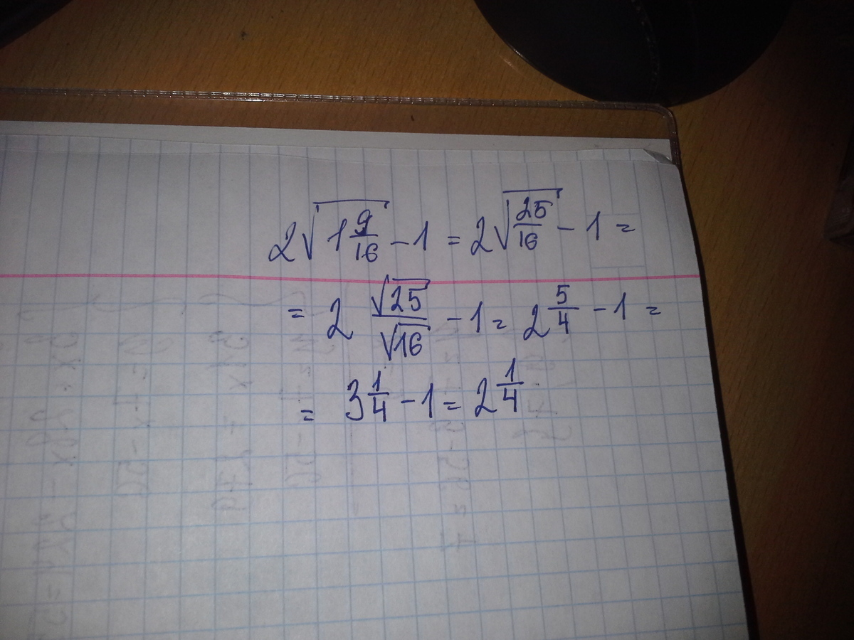
надеюсь, видно все))
Приложения:

Ответ дал:
0
2*1целую 3/4 -1= 3,5-1=2,5
Приложения:

Вас заинтересует
2 года назад
8 лет назад
8 лет назад
10 лет назад
10 лет назад