• Предмет: Алгебра
  • Автор: vasilevva18
  • Вопрос задан 3 года назад

11 номер, пожалуйста

Приложения:

Ответы

Ответ дал: vikysa986
0

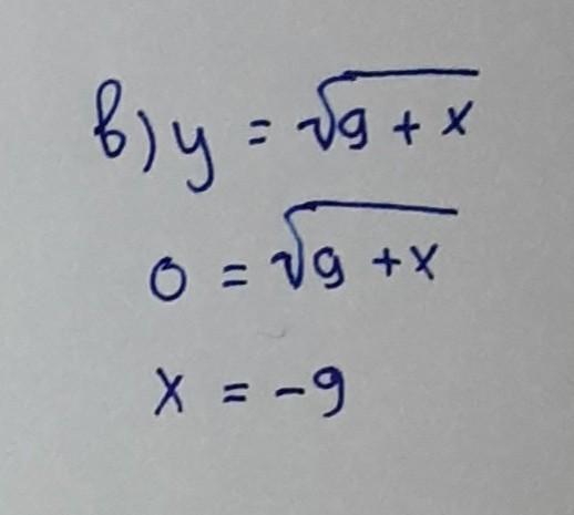
как-то так у меня получилось:)

Приложения:
Вас заинтересует