Решите пожалуйста то я понять не могу как) заранее спасибо)
Приложения:

AlexArdguna:
что найти надо?
Ответы
Ответ дал:
1
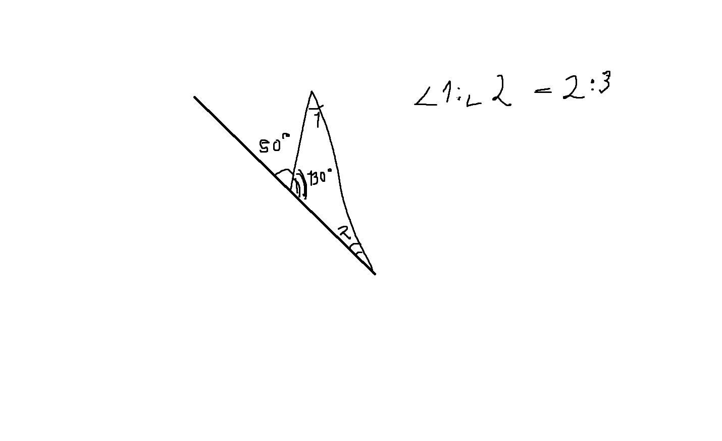
Сумма углов треугольника - 180° ===> Сумма <1 и <2 = 180 - 130 = 50°
Т.к. они относятся друг к другу, как 2 к 3, то их сумму можно выразиться, как 5x. (x = 50/5 = 10)
Тогда <1 = 2x = 20, а <2 = 3x = 30
Вас заинтересует
2 года назад
2 года назад
2 года назад
2 года назад
7 лет назад
7 лет назад
9 лет назад