• Предмет: Алгебра
  • Автор: v4023420
  • Вопрос задан 3 года назад

помогите помогите помогите​

Приложения:

Ответы

Ответ дал: Аноним
1

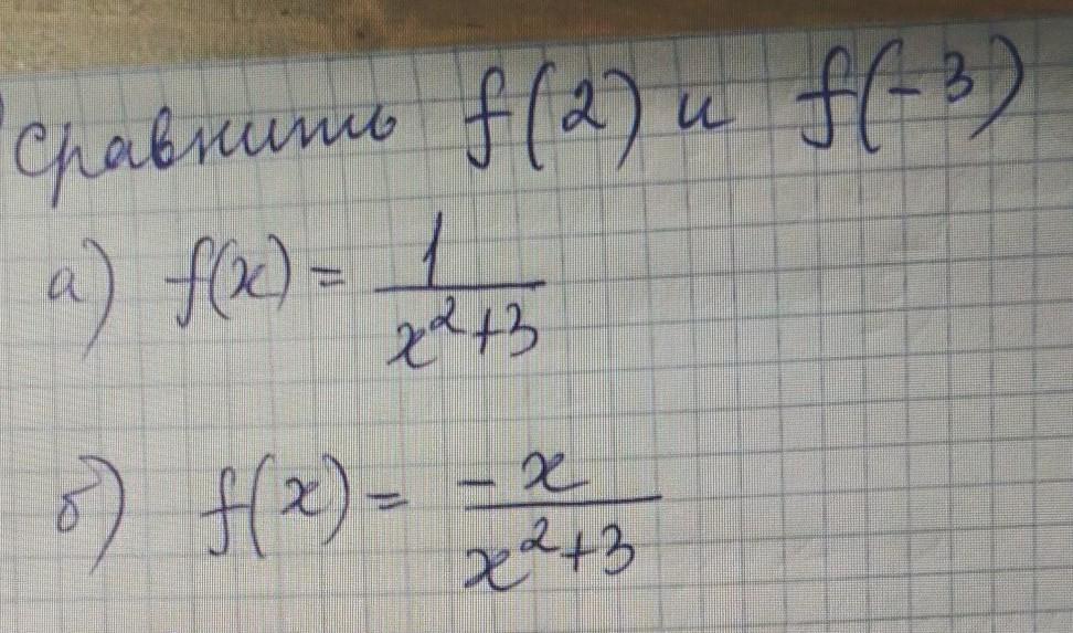
а) f(2)=\frac{1}{2^2+3} =\frac{1}{7}

   f(-3)=\frac{1}{-3^2+3} =\frac{1}{12}

   f(2)>f(3)

б) f(2)=\frac{-2}{2^2+3}=-\frac{2}{7}

   f(-3)=\frac{-(-3)}{-3^2+3} =\frac{1}{4}

   f(2)<f(-3)


v4023420: спасибо большое
Вас заинтересует